백준 단계별로 풀어보기 [정수론 및 집합론] 이항계수 1
https://www.acmicpc.net/problem/11050
11050번: 이항 계수 1
첫째 줄에 \(N\)과 \(K\)가 주어진다. (1 ≤ \(N\) ≤ 10, 0 ≤ \(K\) ≤ \(N\))
www.acmicpc.net
[풀이]
이항계수 1 - factorial 함수를 재귀를 이용하여 구현. n, k의 이항계수는 nCk = n! / (n-k)!k! 이다.
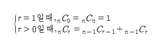
이항계수 2 - 동적계획법을 이용해서 구현. 이항계수를 점화식으로 표현하면 다음과 같다.

[코드]
-이항계수 1
#include<iostream>
int factorial(int n) {
if (n == 0) return 1;
else {
return n * factorial(n - 1);
}
}
int main() {
int n, k;
std::cin >> n >> k;
std::cout << factorial(n)/(factorial(n-k)*factorial(k));
}
-이항계수 2(동적계획법)
#include<iostream>
int bc[1001][1001];
int main() {
int n, k;
std::cin >> n >> k;
bc[0][0] = 1;
bc[1][0] = 1;
bc[1][1] = 1;
for (int i = 2; i <= n; i++) {
for (int j = 0; j <= i; j++) {
if (j == 0 || i==j)
bc[i][j] = 1;
else {
bc[i][j] = (bc[i - 1][j - 1] + bc[i - 1][j]) % 10007;
}
}
}
std::cout << bc[n][k];
}'알고리즘 공부 및 문제 풀이 > 백준(BOJ)' 카테고리의 다른 글
| [c++] 백준 11866 요세푸스 문제 0 (0) | 2021.07.27 |
|---|---|
| [c++] 백준 2164 카드2 (0) | 2021.07.27 |
| [c++] 백준 1874 스택 수열 (0) | 2021.07.24 |
| [c++] 백준 10773 제로 (0) | 2021.07.24 |
| [c++] 백준 2609, 1934 최대공약수와 최소공배수, 최소공배수 (0) | 2021.07.24 |